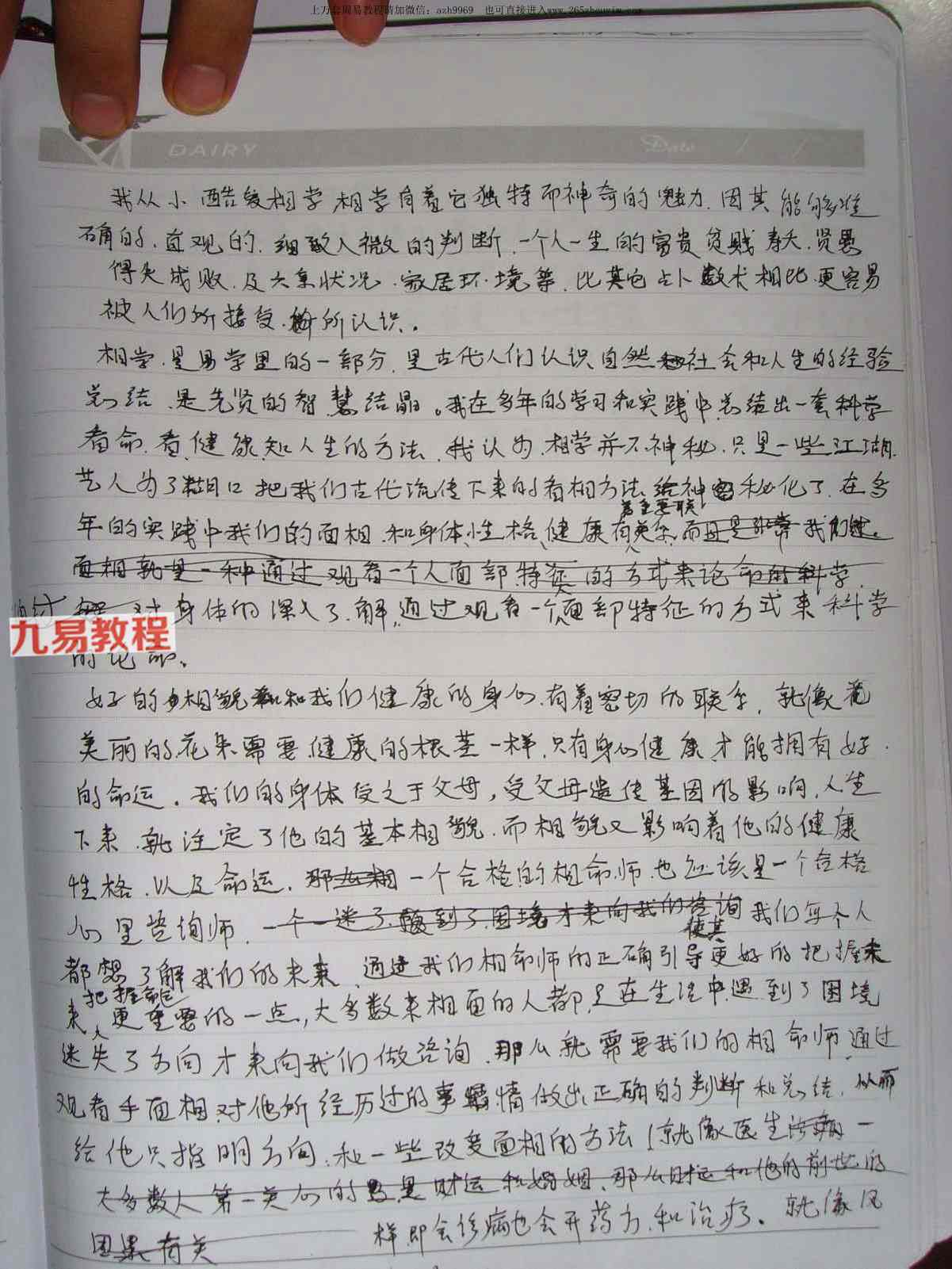
王红人《王红人面相班笔记(110页原版手抄)》.pdf 百度云下载!
1、站内所有资源均来自互联网收集或用户上传分享,本站不拥有此类资源的版权。
2、周易教程网作为网络服务提供者,对非法转载,盗版行为的发生不具备充分的监控能力。但是当版权拥有者提出侵权指控并出示充分的版权证明材料时,周易教程网负有移除盗版和非法转载作品以及停止继续传播的义务。
3、周易教程网在满足前款条件下采取移除等相应措施后不为此向原发布人承担违约责任或其他法律责任,包括不承担因侵权指控不成立而给原发布人带来损害的赔偿责任。
4、周易教程网为用户免费分享产生,如果侵犯了你的权益,请联系qq:461898938 我们将尽快处理。
5、周易教程网目前所有资源均为百度网盘下载,复制密码后,点击右侧即可下载!
6、请每一位网民打开周易教程网前确保不要在微信内打开网站,请用浏览器打开网站,否则会导致网民无法支付。
周易教程网 » 王红人《王红人面相班笔记(110页原版手抄)》.pdf 百度云下载!
周易教程网 » 王红人《王红人面相班笔记(110页原版手抄)》.pdf 百度云下载!












